Contoh Soal Dan Jawaban Turunan Parsial
Jika dan kontinu dan masing-masing dapat diturunkan terhadap x dan y maka Contoh 1. Soal turunan fungsi atau soal diferensialsoal turuan fungsiini dilengkapi dengan kunci jawaban sehingga mepermudah dalam belajarmateri turunan fungsiatau diferensial berikutsoal diferensialnya.

26 Contoh Soal Turunan Kelas 11 Pilihan Ganda Kumpulan Contoh Soal
V sin x.

Contoh soal dan jawaban turunan parsial. Z arc tan x y 6. Perhatikan contoh turunan dalam fungsi aljabar berikut ini. Tentukan turunan parsial terhadap x dan turunan parsial terhadap y fungsi yang dirumuskan dengan fxy x2y x y 1.
U cos x. DOC Makalah Turunan Parsial Keterdiferensialan dan Turunan Total Salim Kurni - Academiaedu Persamaan Diferensial Pengertian Rumus dan Contoh Soal Kumpulan Contoh Soal Turunan Jawaban Pembahasan PPT - TURUNAN PARSIAL PowerPoint Presentation free download - ID5568637 TURUNAN PARSIAL bab i konsep dasar persamaan diferensial. Dalam matematika turunan parsial sebuah fungsi matematika peubah banyak adalah turunannya terhadap salah satu peubah variabel dengan peubah lainnya dipertahankan konstan.
F x cos x cos x sin x -sin x f x cos 2 x sin 2 x. Fxyz sin xy 2e xy 9. Demikian pembahasan tentang kumpulan contoh soal untuk materi turunan.
Soal Dan Pembahasan Turunan Fungsi Implisit 1 5 Istana. - f yy dimana turunan pertama terhadap y - f yx dimana turunan pertama terhadap x - f xy dimana turunan pertama terhadap y. -2 sin 2x 3 cos 2x 3 c.
Hal ini terlihat jelas dari pengertian turunan yaitu perhitungan nilai fungsi yang mengalami perubahan disebabkan nilai inputnya variabel berubah. Contoh soal turunan kedua. Karena maka.
4 sin 2x 3 cos 2x 3 b. Ini dibedakan dengan turunan total yang membolehkan semua variabelnya untuk berubah. 2 sin 2x 3 cos 2x 3 d.
If playback doesnt begin. Fxyz arc sin ¹ z xy. Sebagai contoh diberikan integral berikut.
Selanjutnya tentukan turunan parsial f terhadap x dan turunan parsial f terhadap y di titik 12 Penyelesaian. Fxyz 3 x 2 y 2 z 2 8. Misalkan terdapat suatu fungsi.
Contoh soal turunan kedua. Z 36 x 2 y 2 3. Soal soal berikut dikumpulkan dari berbagai sumber kemudian penulis rangkum dalam postingan ini.
Misalkan fxy adalah fungsi dua peubah x dan y. Turunan pada dasarnya berkaitan dengan variabel. Z 3 - sin 1 x y 4.
Z xy 2 2x 2 3y 3 5. Turunan Derivatif Parsial Tingkat Tinggi Fisika Kalkulus. Materi soal dan pembahasan integral parsial jika integrasi menggunakan cara substitusi tidak berhasil maka kita dapat menggunakan cara lain yaitu integrasi parsial integration by parts atau seringnya disebut sebagai integral parsial.
Diketahui fungsi dan turunan pertama dari f adalah f. Sin 2x 3 cos 2x 3 PEMBAHASAN. Contoh Soal Turunan Beserta Jawaban dan Pembahasannya.
Dz 𝑭. Contoh Soal Dan Jawaban Turunan Parsial. Displaystyle int tan x cdot xtextdxIntegrannya terdiri dari perkalian dua buah fungsi yaitu fx tan x dan gx x.
Cos x adalah f x cos 2x. 50 soal dan jawaban integral parsial. Turunan parsial misalkan z fxy fungsi 2 variabel yg terdefinisi disekitar titik xy.
-4 sin 2x 3 cos 2x 3 e. F x 2 sin 2x 3. Kalkulus 3 Turunan Parsial.
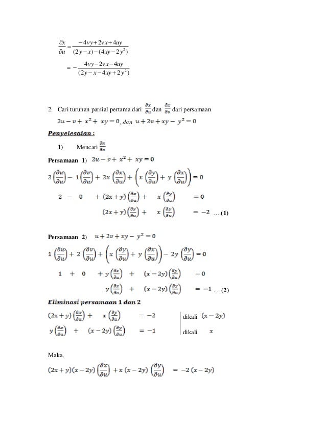
Displaystyle int sin x sin 3xtextdx -dfrac38 sin x cos 3x dfrac18 cos x sin 3x C. Contoh Latihan Turunan Parsial Orde Tinggi Turunan parsial kedua dari fungsi fxy adalah fxx x fxy 2fxy 2 fyy y fxy y 2fxy y2 fxy fxy y fxy x 2fxy yx fyx fyx x fxy y 2fxy xy Sedangkan turunan parsial ketiga dari fungsi fxy adalah fxxx fxxy fxyx fyxx fxyy fyxy fyyx dan fyyy. Soal Dan Pembahasan Turunan Fungsi Implisit 1 5 Istana.
Misal z Fxy dan fungsi tersebut dapat diturunkan terhadap variable x dan y maka diperoleh turuna parisal terhadap x dan turunan parsial terhadap y yang secara berturut-turut dinotasikan dengan 𝑭 1 𝑭 2 Dari 1 dan 2 diperoleh. Contoh dari soal integral yang bisa diselesaikan menggunakan rumus integral parsial. Turunan parsial misalkan z f xy fungsi 2 variabel yg terdefinisi disekitar titik xy.
Video pada channel KangSugy ini membahas tentang penyelesaian latihan soal tentang terapan turunan parsial dan diferensial total pada fisika yaitu dalam mek. Contoh Sederhana Tentang Turunan Parsial - YouTube. Fxyz xy yz xz 7.
Turunan f x sin x ditulis f a cos a. Z ln x y 2. F x y 2xy turunan parsial dari fungsi tersebut terhadap variabel x yaitu f x x y 2y.
Untuk itu dalam menyelesaikan soal soal turunan tentunya kita akan menjumpai variabel di. F x uv uv. Ketika melakukan integral parsial yang berulang kita juga harus.
Rumus Turunan Lengkap Beserta Contoh Rumus Matematika. F x cos 2x identitas trigonometri Jadi turunan pertama dari f x sin x. Contoh dari soal integral yang bisa diselesaikan menggunakan rumus integral parsial adalah seperti dibawah ini.
Turunan ke sekian di sini tidak berarti harus turunan pertama bisa jadi turunan kedua turunan ketiga dan seterusnya. Download rangkuman contoh soal turunan kelas xi11 dalam bentuk pdf klik disini. Contoh Sederhana Tentang Turunan Parsial.
SOAL LATIHAN Tentukan turunan parsial fungsi-fungsi di bawah ini. Maka f x. Contoh dari soal integral yang bisa diselesaikan menggunakan rumus integral parsial adalah seperti dibawah ini.

Contoh Soal Dan Jawaban Turunan Parsial Studi Indonesia

Kumpulan Contoh Soal Turunan Jawaban Pembahasan

Contoh Soal Dan Jawaban Turunan Parsial Studi Indonesia
29 Contoh Soal Turunan Parsial Dan Penyelesaiannya Kumpulan Contoh Soal

32 Contoh Soal Diferensial Parsial Dan Penyelesaiannya Kumpulan Contoh Soal
18 Contoh Soal Turunan Parsial Pertama Kumpulan Contoh Soal

Rangkuman Contoh Soal Pembahasan Turunan

Soal Turunan Parsial Dan Jawabannya

20 Contoh Soal Turunan Parsial Kumpulan Contoh Soal
Komentar
Posting Komentar